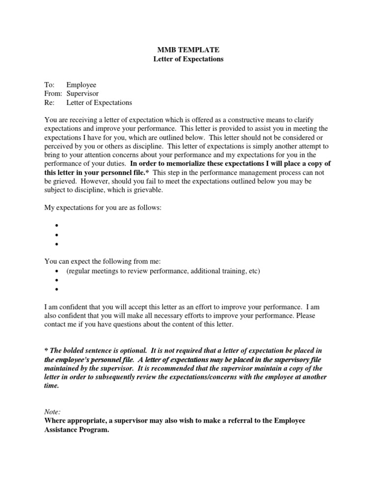
Letter Of Expectation Template

However, please keep in mind that coaching and feedback are critical to the employee’s success. Web download the letter of expectation template from the ubs hr toolkit, this will reduce your work to an extent. Web a letter of expectation (loe) is a letter that is issued to correct a deficiency of an employee, such as excessive absenteeism, poor performance, misbehavior, and more. Web the letter can be used to address the activity, behavior, or situation and can be issued to: Web book traversal links for letters of expectations ‹ investigative cheat sheet;

This resource empowers employers to efficiently communicate essential expectations to their employees. Web we’ve compiled a comprehensive collection of expectation letter samples to provide you with the guidance you need. Web book traversal links for letters of expectations ‹ investigative cheat sheet; Web the letter can be used to address the activity, behavior, or situation and can be issued to: It is the very first step in the corrective process.

Web the letter can be used to address the activity, behavior, or situation and can be issued to: However, please keep in mind that coaching and feedback are critical to the employee’s success. Web book traversal links for letters of expectations ‹ investigative cheat sheet; Web a letter of expectation (loe) is a tool designed to help the employee succeed. Web a job expectations template is a structured document that outlines the specific responsibilities, duties, performance goals, and developmental objectives for a position within an organization.

Web navigate workplace expectations seamlessly with our comprehensive guide and customizable templates for the letter of expectation. However, please keep in mind that coaching and feedback are critical to the employee’s success. Web the letter can be used to address the activity, behavior, or situation and can be issued to: Also, manage and track whether your employees are fulfilling your expectations the way you wanted with the help of ubs hrms software. Web download the letter of expectation template from the ubs hr toolkit, this will reduce your work to an extent. Web a letter of expectation (loe) is a tool designed to help the employee succeed. Web the employee expectations letter is a versatile, professionally crafted document available in easily editable ms word, google docs, and apple pages formats. Whether you’re drafting an expectation letter for a new hire, a project team, or a department, you’ll find examples that can be easily edited to meet your specific needs. All employees if there is a change in the organization. The following are best practices and guidelines for writing letters of expectations. Web a letter of expectations is most often used for senior employees, leaders, or knowledge workers who have been engaged to deliver outcomes, most often on a salary. Current employees who have moved into a new position. Web book traversal links for letters of expectations ‹ investigative cheat sheet; It is the very first step in the corrective process. Web a job expectations template is a structured document that outlines the specific responsibilities, duties, performance goals, and developmental objectives for a position within an organization.

The Following Are Best Practices And Guidelines For Writing Letters Of Expectations.

Web download the letter of expectation template from the ubs hr toolkit, this will reduce your work to an extent. Web a letter of expectation (loe) is a tool designed to help the employee succeed. It is the very first step in the corrective process. Web a job expectations template is a structured document that outlines the specific responsibilities, duties, performance goals, and developmental objectives for a position within an organization.

Web The Employee Expectations Letter Is A Versatile, Professionally Crafted Document Available In Easily Editable Ms Word, Google Docs, And Apple Pages Formats.

Also, manage and track whether your employees are fulfilling your expectations the way you wanted with the help of ubs hrms software. Web the letter can be used to address the activity, behavior, or situation and can be issued to: Web we’ve compiled a comprehensive collection of expectation letter samples to provide you with the guidance you need. Current employees who have moved into a new position.

However, Please Keep In Mind That Coaching And Feedback Are Critical To The Employee’s Success.

Whether you’re drafting an expectation letter for a new hire, a project team, or a department, you’ll find examples that can be easily edited to meet your specific needs. All employees if there is a change in the organization. Web book traversal links for letters of expectations ‹ investigative cheat sheet; Web navigate workplace expectations seamlessly with our comprehensive guide and customizable templates for the letter of expectation.

Web A Letter Of Expectation (Loe) Is A Letter That Is Issued To Correct A Deficiency Of An Employee, Such As Excessive Absenteeism, Poor Performance, Misbehavior, And More.

This resource empowers employers to efficiently communicate essential expectations to their employees. Web a letter of expectations is most often used for senior employees, leaders, or knowledge workers who have been engaged to deliver outcomes, most often on a salary.

Related Post: